網路城邦

上一篇 回創作列表 下一篇   字體:
防範核災食品 ─ 很麻煩,我知道!但能怎麼辦呢?
2016/12/14 09:28:21瀏覽399|回應0|推薦1
日本製造商/販售商 代碼
1 海鮮杯麵 61 g 明星 A 茨城 大阪府 太冠國際
2 #天婦羅粉450g 450g 日清フ-ズ A1 茨城 東京 恩旺貿易
3 #素材好燒粉new 400g 日清フ-ズ H 群馬 東京 恩旺貿易
4 (S&B)...
 日本製造商/販售商 代碼
自日本五大輻射汙染區域輸入之品項清單 104年3月24日
項次 品名 規格
日本「製造所固有記號」
製造廠實際
所在地
中文標籤
製造地
進口商
56 エバラ すき焼のたれ(壽喜燒醬) 300ml Ebera食品工業株...
 日本製造商/販售商 代碼
自日本五大輻射汙染區域輸入之品項清單 104年3月24日
項次 品名 規格
日本「製造所固有記號」
製造廠實際
所在地
中文標籤
製造地
進口商
114 加吉新五袋麵味噌風味 テーブルマ-ク 株式会社 TM18 群馬 ...
 日本製造商/販售商 代碼
自日本五大輻射汙染區域輸入之品項清單 104年3月24日
項次 品名 規格
日本「製造所固有記號」
製造廠實際
所在地
中文標籤
製造地
進口商
172 金牌元氣家咖啡-綜合 40g ネスレ株式會社(Nestle) K...
 日本製造商/販售商 代碼
自日本五大輻射汙染區域輸入之品項清單 104年3月24日
項次 品名 規格
日本「製造所固有記號」
製造廠實際
所在地
中文標籤
製造地
進口商
231 義大利麵7分 500g Hagpromo G 群馬 靜岡 太冠國...

自日本五大輻射汙染區域輸入之品項清單(資料來源:食藥署)

60,610 views
  •  
  •  

Published on 

(資料來源:食藥署)

Published in: News & Politics

 自日本五大輻射汙染區域輸入之品項清單(資料來源:食藥署)

  1. 1. 日本製造商/販售商 代碼 1 海鮮杯麵 61 g 明星 A 茨城 大阪府 太冠國際 2 #天婦羅粉450g 450g 日清フ-ズ A1 茨城 東京 恩旺貿易 3 #素材好燒粉new 400g 日清フ-ズ H 群馬 東京 恩旺貿易 4 (S&B)咖哩醬(紅) 188g エスビー食品株式會社 SBTS 櫪木 東京 盛裕 5 (S&B)咖哩醬(藍) 188g :エスビー食品株式會社 SBTS 櫪木 東京 盛裕 6 @山葵飯友 13.5g 永谷園 T 茨城 東京都 太冠國際 7 4連動物造型餅 56g GINBIS株式會社(ギンビス) GSD 茨城 東京中央 太冠國際 8 5P蝦條 new 130g カルビ- OI 櫪木 東京 昶緯興業 9 AGF marim 奶精[15本] 45g 味の素株式會社 J 群馬 東京 太冠國際 10 AGF-BlendyStick 即溶咖啡 95g 味の素株式會社 J 群馬 東京 都 恩旺貿易 11 Bireleys柳丁果汁飲料 Asahi飲料株式會社 CG(JT) 群馬 東京 太冠國際 12 blendy 三合一(咖啡歐蕾) 75g 味の素株式會社 J 群馬 東京 恩旺貿易 13 blendysticky即溶咖啡 95g 味の素株式會社 J 群馬 東京 恩旺貿易 14 BlendyStick即溶咖啡 味の素株式會社 J 群馬 東京 太冠國際 15 BlendyStick紅茶歐蕾 味の素株式會社 J 群馬 東京 太冠國際 16 Blendy三合一[咖啡歐蕾] 味の素株式會社 J 群馬 東京 太冠國際 17 Blendy焙煎士濾式咖啡-吉力馬札羅 味の素株式會社 J 群馬 東京 太冠國際 18 Blendy焙煎士濾式咖啡-特級 64g 味の素株式會社 J 群馬 東京都新宿 區 恩旺貿易 19 Blendy焙煎士濾式咖啡-濃縮 56g 味の素株式會社 J 群馬 東京 恩旺貿易 20 BLENDY焙煎式濾式咖啡(吉力馬札羅) 64g 味の素株式會社 J 群馬 東京新宿區 恩旺貿易 21 BLENDY焙煎式濾式咖啡(濃縮) 64g 味の素株式會社 J 群馬 東京新宿區 恩旺貿易 22 Brite布雷特奶精 240 g Nestle K 茨城 神戶市 太冠國際 23 Brite布雷特奶精 400g Nestle株式會社 K 茨城 神戶 太冠國際 24 Brite布雷特奶精[原味] 400g ネツスル K 茨城 神戶 太冠國際 25 Brite隨身包奶精 30g Nestle株式會社 K 茨城 神戶 恩旺貿易 26 CALPIS乳酸菌元氣飲料LX 500ml カルピス株式會社 KC 群馬 東京 三燦 27 FLE CHE 白桃軟糖 40g 味覺糖株式會社 7 福島 大阪市 太冠國際 28 FLE CHE橘子軟糖 味覺糖株式會社 7 福島 大阪 太冠國際 29 GoldBlend摩卡咖啡 40g ネスレ株式會社 K 茨城 神戶 太冠國際 30 GoldBlend摩卡咖啡(4+1) 50g ネスレ株式會社(Nestle) K 茨城 神戶市 太冠國際 31 KitKat巧克力餅乾 162.4g Nestle日本株式会社 K 茨城 兵庫 太冠國際 32 KitKat巧克力餅乾13枚 146.9g ネスレ株式會社(Nestle) K 茨城 兵庫 恩旺貿易 33 KT草莓專用糖粉 正榮食品工業株式會社 無 茨城 東京 太冠國際 34 Latte風奶茶-抹茶9P 50.4g Nestle株式會社 K 茨城 神戶 恩旺貿易 35 Latte風奶茶-原味 ネスレ株式會社 K 茨城 神戶 太冠國際 36 Marim奶精 味の素株式會社 WT 櫪木 東京 太冠國際 37 marim奶精條 味の素株式會社 WT 櫪木 東京 太冠國際 38 Maxim三合一[摩卡咖啡] 67.5g 味の素株式會社 J 群馬 東京 太冠國際 39 MAXIM華麗濾式咖啡(吉力馬札羅) 60g 味の素株式會社 J 群馬 東京新宿區 恩旺貿易 40 Maxim華麗濾式咖啡-摩卡 60g 味の素株式會社 J 群馬 東京 太冠國際 41 MINTIA糖果(可爾必思) 7g ASAHI FOOD株式會社 B 茨城 東京都 恩旺貿易 42 MINTIA薄荷糖 22g ASAHI FOOD株式會社 B 茨城 東京都 恩旺貿易 43 NESTEA紅茶球-伯爵 96g Nestle K 茨城 神戶市中央 太冠國際 44 Nestle雀巢 Brite布雷特奶精 ネスレ株式會社 K 茨城 神戶 太冠國際 45 Pocari運動飲料 250ml 大塚製薬 OJT 群馬 日本東京都 太冠國際 46 S&B四川麻辣辣油 S&B株式會社 SBOF 群馬 東京 太冠國際 47 S&B焙煎全粒粉咖哩-辛口 140g 販售者:エスビー食品株式會社 SBTS 櫪木 東京 盛裕 48 S&B辣油 31公克/包 エスビー食品株式會社(S&B株式會社) SBOF 群馬 東京 勵拓 49 S&B辣油唐辛子 S&B株式會社 SBOF 群馬 東京 太冠國際 50 Supili乳酸飲料 500ml KIRIN株式会社 CA 群馬 東京都 恩旺貿易 51 Tasty咖啡飲料 pokka sapporo 株式會社 G 群馬 名古屋 太冠國際 52 Valor義大利麵醬 永谷園株式會社 S 福島 崎阜 太冠國際 53 Valor義大利麵醬[蕃茄] 永谷園株式會社 SI 福島 崎阜 太冠國際 54 Vivit's蘋果汁碳酸飲料 410ml 伊藤園株式會社 A59 茨城 東京 太冠國際 55 WONDA晨間咖啡 400 g Asahi飲料株式會社 B 千葉 東京 昶緯興業 自日本五大輻射汙染區域輸入之品項清單 104年3月24日 項次 品名 規格 日本「製造所固有記號」 製造廠實際 所在地 中文標籤 製造地 進口商
  2. 2. 日本製造商/販售商 代碼 自日本五大輻射汙染區域輸入之品項清單 104年3月24日 項次 品名 規格 日本「製造所固有記號」 製造廠實際 所在地 中文標籤 製造地 進口商 56 エバラ すき焼のたれ(壽喜燒醬) 300ml Ebera食品工業株式會社 U 櫪木 橫濱 太冠國際 57 ェバラ 大人の粋 醤油味 170g (荏原)Ebara食品工業株式會社 U 櫪木 橫濱 太冠國際 58 ェバラ大人の粋 柑橘味 170g (荏原)Ebara食品工業株式會社 U 櫪木 橫濱 太冠國際 59 はごろも-義大利麵 細麵3分 240 g Hagoromo株式會社(はごろもフーズ) G 群馬 靜岡市 太冠國際 60 はごろも-義大利麵 細麵5分 240 g Hagoromo株式會社(はごろもフーズ) G 群馬 靜岡市 太冠國際 61 はごろも-義大利麵[適合肉醬] 500 g Hagoromo株式會社(はごろもフーズ) G 群馬 靜岡市 太冠國際 62 はごろも-義大利麵3分 300 g Hagoromo株式會社(はごろもフーズ) G 群馬 靜岡市 太冠國際 63 はごろも-義大利麵3分 500g Hagoromo株式會社(はごろもフーズ) G 群馬 靜岡 太冠國際 64 はごろも-義大利麵7分 500g Hagoromo株式會社(はごろもフーズ) G 群馬 靜岡 太冠國際 65 一番5入燒炒麵 560 g 一番 Z 千葉 東京 恩旺貿易 66 一番5食包麵-醬油風味 500g 販售者:サンヨー食品株式會社 A 群馬 東京販售 盛裕 67 一番阿拉丁5入炒麵 サ ンヨー食品株式會社 Z/3/1 千葉 東京 太冠國際 68 一番翻炒類5入包麵 サ ンヨー食品株式會社 Z 千葉 東京 太冠國際 69 三矢汽水飲料 250 ml Asahi飲料株式會社 CG/T42 群馬 東京 恩旺貿易 70 三矢碳酸飲料 300ml Asahi飲料株式會社 B/R10 群馬 東京 恩旺貿易 71 三矢橘子風味碳酸飲料 250 ml Asahi飲料株式會社 CG 群馬 東京 恩旺貿易 72 三矢檸檬風味碳酸飲料 250ml Asahi飲料株式會社 CG/F37 群馬 東京 昶緯興業 73 三洋5入包麵-咖哩中辛 475 g sanyo食品株式會社 A 群馬 東京 恩旺貿易 74 丸正5入包麵-味噌 東洋水產株式會社 M1 群馬 東京 太冠國際 75 丸正5入包麵-豚骨 東洋水產株式會社 M1 群馬 東京 太冠國際 76 丸正5入風味麵-咖哩烏龍 東洋水產株式會社 M1 群馬 東京 太冠國際 77 丸正5入風味麵-烏龍 東洋水產株式會社 M1 群馬 東京 太冠國際 78 千層派 182.4g 不二家 A4323M3 櫪木 東京都 恩旺貿易 79 千層派 182.4g 不二家 NU 櫪木 東京都 太冠國際 80 大中濃香醋 500ml BULLDOG BLT 群馬 東京 太冠國際 81 大中濃香醋(薄口) 500ml ブルドックソース株式会社 BLT 群馬 東京都 太冠國際 82 大牛排香醋 500ml ブルドックソース株式会社 BLT 群馬 東京都 恩旺貿易 83 大豬排香醋 500ML ブルドックソース株式会社 BLT 群馬 東京 太冠國際 84 大豬排香醋(特濃) 500ml ブルドックソース株式会社 BLT 群馬 東京都 恩旺貿易 85 小中濃香醋 ブルドックソース株式会社 BLT 群馬 東京 太冠國際 86 小月光餅 56g 森永製菓 BA9P 千葉 東京都港區 恩旺貿易 87 小牛排香醋 ブルドックソース株式会社 BLT 群馬 東京 太冠國際 88 小豬排香醋(特濃) ブルドックソース株式会社 BLT 群馬 東京 太冠國際 89 山葵調味料 13.5gm 永谷園 T 茨城 東京都 太冠國際 90 午後紅茶 185g 販售者:キリンビバレツジ株式會社 ST 櫪木 東京販售 盛裕/三燦 91 午後紅茶-蘋果風味碳酸飲料 500ml KIRIN株式会社 KJ 群馬 東京都 恩旺貿易 92 天婦羅粉 日清フーズ株式會社 H 群馬 東京 太冠國際 93 天婦羅粉(可溶性澱粉) 昭和產業株式會社 J505 茨城 東京 太冠國際 94 日向夏果汁飲料 470ML キリン CK 千葉 日本東京都 太冠國際 95 日粉炸雞粉 日本製粉株式会社 KSP 茨城 東京 上煬 96 日粉蛋糕粉 日本製粉株式会社 KSP 茨城 美國 上煬 97 日清大杯麵-醬油風味 99g 日本日清食品株式會社 A 茨城 大阪販售 三燦 98 日清咖哩杯麵 71g 日清 A 茨城 大阪 太冠國際 99 日清拉麵王味噌碗麵 日清食品株式会社 A 茨城 大阪 上煬 100 日清拉麵王醬油碗麵 日清食品株式会社 A 茨城 大阪 上煬 101 日清拉麵王鹽味碗麵 日清食品株式会社 A 茨城 大阪 上煬 102 日清杯麵-咖哩風味 86g 日本日清食品株式會社 A 茨城 大阪販售 三燦 103 日清杯麵-醬油風味 77g 日本日清食品株式會社 A 茨城 大阪販售 三燦 104 日清湯麵杯-咖哩味 71g 日本日清食品株式會社 A 茨城 大阪販售 三燦 105 日清碗麵(兵衛天婦羅) 日清食品株式会社 A 茨城 大阪 上煬 106 日清醬油杯麵 59g 日清 A 茨城 大阪 太冠國際 107 火鍋芝麻沾醬 エバラ食品工業株式會社 U 櫪木 橫濱 太冠國際 108 爪哇咖哩-香辣 house食品株式會社 TS 櫪木 大阪 太冠國際 109 牛奶紅茶糖 80gm 株式会社ママ U2 千葉 愛知縣 昶緯興業 110 牛乳屋奶茶-焙茶風味 和光堂株式會社 TU 櫪木 東京 太冠國際 111 牛乳屋咖啡--溫和風味 和光堂株式會社 TU 櫪木 東京 太冠國際 112 丼亭牛丼醬汁 245ml エバラ食品工業株式會社 U 櫪木 橫濱 太冠國際 113 加吉新五代麵醬油風味 テーブルマ-ク 株式会社 TM18 群馬 東京 上煬
  3. 3. 日本製造商/販售商 代碼 自日本五大輻射汙染區域輸入之品項清單 104年3月24日 項次 品名 規格 日本「製造所固有記號」 製造廠實際 所在地 中文標籤 製造地 進口商 114 加吉新五袋麵味噌風味 テーブルマ-ク 株式会社 TM18 群馬 東京 上煬 115 加吉新五袋麵豚骨風味 テーブルマ-ク 株式会社 TM18 群馬 東京 上煬 116 加吉新五袋麵鹽風味 テーブルマ-ク 株式会社 TM18 群馬 東京 上煬 117 卡士達醬粉 95g 日本製粉株式會社 NUS 千葉 東京 恩旺貿易 118 卡巴熊貓巧克力餅 102公克/包 カバヤ食品株式会社 K 茨城 岡山 勵拓 119 可爾必思威爾奇水飲料-青葡萄 470ml カルピス株式會社 KC 群馬 東京 三燦 120 可爾必思威爾奇水飲料-檸檬味 500ml カルピス株式會社 KC 群馬 東京 三燦 121 可爾必思糖 100g B 茨城 東京 太冠國際 122 奶油捲心酥 81g グリコ(江崎GLICO株式會社) C5 千葉 大阪市 恩旺貿易 123 奶油捲心酥 81g グリコ(江崎GLICO株式會社) C 千葉 大阪市 恩旺貿易 124 奶精 ネスレ株式會社 K 茨城 神戶 太冠國際 125 巧虎4連牛奶餅 72公克/包 株式會社正栄デリシィ 茨城 東京 勵拓 126 平袋海苔茶漬 24g 永谷園株式會社 T 茨城 東京 恩旺貿易 127 平袋蜆海帶芽湯 12gm 永谷園 T 茨城 東京都 太冠國際 128 平袋鮭魚茶漬 16.5g 永谷園株式會社 T 茨城 東京 恩旺貿易 129 正栄巧虎餅 125公克/包 株式會社正栄デリシィ 茨城 東京 勵拓 130 玉米濃湯 pokka sapporo 株式會社 G 群馬 名古屋 太冠國際 131 伊右衛門綠茶清涼飲料水 2000ml サントリー ホームページ T 群馬 東京都 恩旺貿易 132 伊右衛門綠茶飲料 500ml サントリー ホームページ T 群馬 東京都 恩旺貿易 133 伊右衛門濃口綠茶飲料 suntory株式會社 T 群馬 東京 太冠國際 134 伊佑衛門焙茶 500ml Suntory株式會社 Ta 群馬 東京都 恩旺貿易 135 伊藤宇治抹茶軟餅 イトウ製菓株式会社 茨城 東京 上煬 136 伊藤香草夾心餅 イトウ製菓株式会社 茨城 東京 上煬 137 匠屋綠茶飲料 245g ASAHI飲料株式會社 CG 群馬 東京都 恩旺貿易 138 印度甩餅粉 昭和產業株式會社 F 千葉 東京 太冠國際 139 宇治抹茶拿鐵 40g Nestle K 茨城 神戶 恩旺貿易 140 宇治抹茶綠茶飲料 ジェイティ飲料株式會社 CT 群馬 東京 太冠國際 141 米奇巧克力餅乾 108g 森永製菓株式會社 72 櫪木 東京都 昶緯興業 142 利拉熊飯友 50g 永谷園 T 茨城 東京都 恩旺貿易 143 利拉熊飯友 50g 永谷園 T 茨城 廣島 太冠國際 144 即溶奶茶粉 330公克/盒 味の素ゼネラルフーヅ(株) J 群馬 東京 勵拓 145 汽水糖 22g 1 福島 太冠國際 146 牡丹峰火鍋高湯包-海鮮鍋(醬油味) 750ml モランボン株式會社 K 福島 東京販售 盛裕 147 味噌湯 ハナマルキ株式會社 O 群馬 長野 太冠國際 148 和光堂-牛乳屋咖啡溫和風味 65g 和光堂 TU 櫪木 東京都 太冠國際 149 咖啡(特級濾泡式) 60g 味の素株式會社 J 群馬 東京新宿 太冠國際 150 咖啡專用條糖 日新製糖株式會社 U 千葉 東京 太冠國際 151 咖啡飲料 185 g Pokka sapporofood &Beverage 株式會社 G/PD. 群馬 名古屋 恩旺貿易 152 咖啡糖 90g マルエ M2 茨城 東京都 太冠國際 153 抹茶夾心蛋糕 162gm 森永製菓株式会社 AC4 櫪木 東京都 恩旺貿易 154 東洋大盛鹽燒炒麵 東洋水産株式会社 M1 群馬 東京 上煬 155 東洋正麵豚骨味5入 東洋水産株式会社 M1 群馬 東京 上煬 156 東洋和庵油豆腐烏龍麵 東洋水産株式会社 M1 群馬 東京 上煬 157 東洋和庵炸蝦蕎麥麵 東洋水産株式会社 M1 群馬 東京 上煬 158 東洋杯麵-醬油 東洋水產株式會社 M74 千葉 東京 太冠國際 159 東洋杯麵-醬油風味 69g 販售者:東洋水產株式會社 M74 千葉 東京 盛裕 160 東洋油豆腐烏龍麵 東洋水産株式会社 M1 群馬 東京 上煬 161 武平作海老仙貝 135g ひぎつき製菓株式會社 櫪木 櫪木 盛裕 162 油炸粉 600gm 日清食品グループ株式会社 H 群馬 東京都 太冠國際 163 油炸粉 600g 日清食品グループ株式会社 A1 群馬 東京 恩旺貿易 164 泡菜醬 エバラ食品工業株式會社 U 櫪木 橫濱 太冠國際 165 花丸木日式味噌 ハナマルキ株式会社 OS 群馬 長野 上煬 166 金牌元氣咖啡-拿鐵 50g Nestle K 茨城 神戶 恩旺貿易 167 金牌元氣咖渄-抺茶4P(宇治抺茶拿鐡) 40g ネスレ株式會社(Nestle) K 茨城 神戶 恩旺貿易 168 金牌元氣咖渄-焦糖 40g ネスレ株式會社(Nestle) K 茨城 神戶 太冠國際 169 金牌元氣家咖啡-卡布奇諾 50g ネスレ株式會社(Nestle) K 茨城 神戶 太冠國際 170 金牌元氣家咖啡-焦糖 50g ネスレ株式會社(Nestle) K 茨城 神戶市 太冠國際 171 金牌元氣家咖啡-焦糖5P ネスレ株式會社(Nestle) K 茨城 神戶 太冠國際
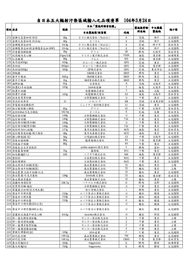
  4. 4. 日本製造商/販售商 代碼 自日本五大輻射汙染區域輸入之品項清單 104年3月24日 項次 品名 規格 日本「製造所固有記號」 製造廠實際 所在地 中文標籤 製造地 進口商 172 金牌元氣家咖啡-綜合 40g ネスレ株式會社(Nestle) K 茨城 神戶 太冠國際 173 金牌元氣家咖啡-綜合4p 40g ネツスル K 茨城 神戶 太冠國際 174 金牌隨身包咖啡 59.4g ネスレ株式會社(Nestle) K 茨城 神戶市 恩旺貿易 175 金牌隨身包咖啡(金牌隨身包咖啡9P) 59.4g ネスレ株式會社(Nestle) K 茨城 神戶 太冠國際 176 洋蔥薯條餅乾棒 39g グリコ C8 群馬 大阪市 恩旺貿易 177 紀高梅肉夾心糖 37gm/1條 ライオン菓子株式会社 YGEA 福島 東京都 昶緯興業 178 紅茶糖果 90g マルエ M2 茨城 東京都 太冠國際 179 美乃滋(450g) 450g キユーピー株式会社 QPG 茨城 東京 太冠國際 180 美奶滋 450gm キユーピー株式会社 QPG 茨城 東京都 太冠國際 181 美奶滋(300g) 300g QP株式會社 QPG 茨城 東京涉谷 太冠國際 182 胡椒鹽 S&B株式會社 SBOF 群馬 東京 太冠國際 183 唐辛子辣油 400 g S&B株式會社 SBOF 群馬 東京 太冠國際 184 唐辛子辣油 31g S&B食品株式會社 SBOF 群馬 東京 太冠國際 185 海鮮杯麵 61g 日清食品 A 茨城 大阪市 太冠國際 186 特濃8.2牛奶袋糖 105g UHA味覚糖 7 福島 大阪市 恩旺貿易 187 特濃牛奶糖 味覺糖株式會社 7 福島 大阪 太冠國際 188 特濃牛奶糖 105g 味覺糖株式會社 KS 福島 大阪市 恩旺貿易 189 粉末焚黑黑砂糖 日新製糖株式會社 U 千葉 東京 太冠國際 190 茶流彩彩麥茶 2L コカ.コ-ラ EIB 茨城 日本東京都 太冠國際 191 草莓風味碳酸飲料 ジェイティ飲料株式會社 EI 茨城 東京 太冠國際 192 起士蛋糕捲心餅乾 81g グリコ C5 千葉 大阪市 恩旺貿易 193 迷你KitKat巧克力餅乾 162.4g ネツスル K 茨城 兵庫 恩旺貿易 194 迷你角砂糖 140g 日新製糖株式會社 U 千葉 東京 太冠國際 195 迷你角砂糖 140g 日新製糖株式會社 T12 千葉 東京 太冠國際 196 迷你角砂糖(黑砂糖) 140g 日新製糖株式會社 U 千葉 東京 太冠國際 197 迷你角砂糖(黑砂糖) 140g 日新製糖株式會社 T12 千葉 東京 太冠國際 198 迷你綜合4入碗麵 177g 東洋水產株式會社 M72 福島 東京 恩旺貿易 199 迷你蕎麥屋杯麵-鴨汁風味 48g 東洋水產株式會社 M72 福島 東京 恩旺貿易 200 捲心餅乾[抹茶] 56g 江崎glico株式會社 C5 千葉 大阪市 太冠國際 201 清爽白桃喉糖 80g 龍角散株式會社 RY 千葉 東京都 太冠國際 202 清爽柚子喉糖 80g RY 千葉 東京 太冠國際 203 清爽氣分玉米茶飲料 pokka sapporo 株式會社 Y 群馬 愛知 太冠國際 204 清爽藍莓喉糖 75g 龍角散 RY1 千葉 東京 太冠國際 205 細烏龍麵(5入) 1KG シマダヤ株式会社 MK 福島 東京都 太冠國際 206 蛋糕粉 日本製粉株式會社 NUS 千葉 東京 太冠國際 207 蛋糕調理粉 日本製粉株式會社 NUS 千葉 東京 太冠國際 208 森永原味牛奶糖(袋裝) 森永製菓株式会社 72 櫪木 東京 上煬 209 森永原味牛奶糖(罐裝) 森永製菓株式会社 72 櫪木 東京 上煬 210 森永製果 大粒牛奶糖-紅豆 森永製果株式會社 72 櫪木 東京 太冠國際 211 森永製菓-巧克力蛋糕 198g Ginbis株式會社 72 櫪木 東京都 恩旺貿易 212 森永濃抹茶蛋糕 森永製菓株式会社 72 櫪木 東京 上煬 213 減鹽味噌湯12食 206.7g ハナマルキ株式會社 O 群馬 長野 太冠國際 214 焚黑黑砂糖-塊狀 日新製糖株式會社 U 千葉 東京 太冠國際 215 華麗濾式咖啡(吉力馬札羅) 味の素株式會社 J 群馬 東京 太冠國際 216 黃金中辛烤肉醬 210g エバラ食品工業株式會社 U 櫪木 橫濱 太冠國際 217 黃金甘口烤肉醬 210g エバラ食品工業株式會社 U 櫪木 橫濱 太冠國際 218 黃金辛口烤肉醬 210g エバラ食品工業株式會社 U 櫪木 橫濱 太冠國際 219 黃金辛口烤肉醬(210公克) エバラ食品工業株式會社 U 櫪木 橫濱 太冠國際 220 黃金辛口烤肉醬(400公克) エバラ食品工業株式會社 U 櫪木 橫濱 太冠國際 221 愛麗絲北海道牛奶夾心酥 64.8g bourbon株式會社 H 櫪木 新潟 太冠國際 222 新一番札幌味噌杯麵 サンヨー食品株式会社 Z 千葉 東京 上煬 223 新一番味噌味碗麵 サンヨー食品株式会社 Z 千葉 東京 上煬 224 新一番博多豚骨杯麵 サンヨー食品株式会社 Z 千葉 東京 上煬 225 新一番橫濱醬油杯麵 サンヨー食品株式会社 Z 千葉 東京 上煬 226 業務天婦羅粉[金] 10Kg 昭和産業 F 千葉 東京 太冠國際 227 碎巧克力餅 130.2g 森永製果株式會社 TM 群馬 東京 太冠國際 228 碎巧克力餅 130.2g 森永製果株式會社 CB9D 千葉 東京都 恩旺貿易 229 義大利麵12分 300g Hagpromo G 群馬 靜岡 昶緯興業 230 義大利麵5分 700g Hagpromo G 群馬 靜岡 太冠國際
  5. 5. 日本製造商/販售商 代碼 自日本五大輻射汙染區域輸入之品項清單 104年3月24日 項次 品名 規格 日本「製造所固有記號」 製造廠實際 所在地 中文標籤 製造地 進口商 231 義大利麵7分 500g Hagpromo G 群馬 靜岡 太冠國際 232 義大利麵適合炒15分 500g G 群馬 靜岡 太冠國際 233 義大利麵適合焗烤大15分 500g G 群馬 靜岡 太冠國際 234 義大利麵適合焗烤小15分 300g G 群馬 靜岡 太冠國際 235 義大利麵醬(番茄) 285g VALOR SI 福島 岐阜縣 恩旺貿易 236 葡萄片狀軟糖 味覺糖株式會社 7 福島 大阪 恩旺貿易 237 蜂蜜檸檬喉糖 75g YH1A 福島 東京 太冠國際 238 壽司太郎(黑醋入) 200.6gm 永谷園 V 福島 東京都 太冠國際 239 壽喜燒醬 300ml エバラ食品工業株式會社 U 櫪木 橫濱 太冠國際 240 歌舞技揚綜合米果 169g 天乃屋株式会社 AF 福島 東京 太冠國際 241 熊貓巧克力 102g kabaya株式會社 KZ 茨城 岡山市 恩旺貿易 242 熊貓巧克力量販包 102g カバヤ K 茨城 岡山市 太冠國際 243 熊貓巧克力餅乾 102公克/包 カバヤ食品株式会社 K 茨城 岡山 勵拓 244 熊貓圖形巧克力餅乾 40g kabaya株式會社 KN 千葉 岡山市 恩旺貿易 245 綜合五入迷你杯麵 日清食品 P 群馬 大阪市 恩旺貿易 246 蜜柑果汁飲料 kirin株式會社 CK 千葉 東京 太冠國際 247 銀座巧克力餅乾 100g GINBIS株式會社 GB 茨城 東京都 昶緯興業 248 餅乾 135g 販售者:前田製菓株式會社KC KC 群馬 東京 三燦 249 蔬菜餅太空包 カルビー株式會社 NU 櫪木 東京 太冠國際 250 調味料 170ml ミツカン株式會社 (MIZKAN) MT 櫪木 愛知 恩旺貿易 251 調味醬 245g エバラ食品工業株式會社 U 櫪木 橫濱 太冠國際 252 燒肉醬[醬油] エバラ食品工業株式會社 U 櫪木 神奈川 太冠國際 253 燒肉醬汁醬油味 300g エバラ食品工業株式會社 U 櫪木 橫濱 太冠國際 254 隨身包奶精 30g/盒 ネスレ株式會社 K 茨城 神戶 恩旺貿易 255 龍角散容器錠糖 - 雙倍薄荷 5.2g 龍角散 千葉 東京 太冠國際 256 龍角散條糖 42g 龍角散 千葉 東京都 恩旺貿易 257 龍角散條糖 42g 龍角散 千葉 東京 太冠國際 258 龍角散條糖-max120 42g 龍角散 千葉 東京都 恩旺貿易 259 龍角散喉糖(袋) 88g 千葉 東京 太冠國際 260 龍角散喉糖-蜂蜜檸檬 5.2g 龍角散 ABF 千葉 東京都 恩旺貿易 261 龍角散喉糖-雙倍薄荷 5.2 龍角散 BBC 千葉 東京都 恩旺貿易 262 龜甲萬濃口醬油 1000公克/瓶 龜甲萬食品株式會社 千葉 千葉 勵拓 263 龜甲萬濃口醬油0.5L 500ml キッコーマン食品株式會社 千葉 北海道 盛裕 264 龜甲萬醬油0.5L-甘 500ml キッコーマン食品株式會社 千葉 千葉 盛裕 265 龜甲萬醬油1L-甘口 1000ml キッコーマン食品株式會社 千葉 千葉 盛裕 266 應援考生碗麵-親子烏龍 東洋水產株式會社 M1 群馬 東京 太冠國際 267 薄力小麥粉 1000g 昭和製粉 F 千葉 東京 太冠國際 268 鮭魚炒飯素 永谷園株式會社 T 茨城 東京 太冠國際 269 鮭魚炒飯素 20.4g 永谷園株式會社 T 茨城 東京 恩旺貿易 270 藍莓肉桂糖粉 S&B食品株式會社 SBTS 櫪木 東京 太冠國際 271 贅澤楓糖糖果 70g LION菓子株式會社 YH2A 福島 東京都 昶緯興業 272 醬油杯麵 59g 日清 A 茨城 大阪 太冠國際 273 嚴選精釀昆布麵味露 1L 株式会社 光商 無 群馬 東京都 昶緯興業 274 嚴選精釀麵味露 光商株式會社 D1 2 群馬 東京 太冠國際 275 嚴選精釀麵味露 1L 株式会社 光商 D1 4 群馬 東京都 昶緯興業 276 嚴選精釀鰹魚麵味露 1L 株式会社 光商 無 群馬 東京都 昶緯興業 277 嚴選精釀鰹魚麵味露 1公升 株式会社 光商 D1 1 群馬 東京 昶緯興業 278 蘋果肉桂糖粉 S&B食品株式會社 SBTS 櫪木 東京 太冠國際 279 蘋果薑汁糖粉 25g S&B食品株式會社 SBTS 櫪木 東京 太冠國際 280 蘋果薑汁糖粉 25g S&B食品株式會社 エスビー食 品SBTS 櫪木 東京 太冠國際 281 讚岐烏龍麵(3入) 600ml シマダヤ株式会社 S18 群馬 東京都 太冠國際 282 讚岐烏龍麵[5入] シマダヤ株式會社 S18 群馬 東京 太冠國際 283 焼肉のたれ(燒肉醬[辛口]) 301ml Ebera食品工業株式會社 U 櫪木 橫濱 太冠國際
( 時事評論公共議題 )

回應 推薦文章 列印 加入我的文摘
上一篇 回創作列表 下一篇

引用
引用網址:https://classic-blog.udn.com/article/trackback.jsp?uid=pienchien&aid=85083798