字體:小 中 大 |
|
|
|
| 2025/07/27 02:06:34瀏覽66|回應0|推薦0 | |
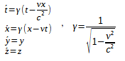
勞侖茲變換指的是狹義相對論中物理量由一個慣性參考系變換至另一個慣性參考系的變換公式。讓變換前的參考系為甲,變換後的參考系為乙。乙向甲的x軸方向以v的速度前進。發生在甲的一個事件的座標(t,x,y,z),變換到乙的座標是(t`,x`,y`,z`)。那麼兩個座標的關係是 這套變換公式雖然沒有錯,然而勞侖茲建立這套公式時並不理解閔考斯基空間。以至於對於公式的理解流於表面。 從閔考斯基空間來理解勞侖茲變換,勞侖茲變換本質上是從一個笛卡兒座標系變換到另一個笛卡兒座標系。而且是一個有限制的變換。 一般座標系變換可以變換原點。勞侖茲變換沒有變換原點。一般座標系變換座標系的軸方向沒有限制。由於光的方向與時間軸的夾角是45度,勞侖茲變換時間軸之間的夾角必須小於45度。 要深入理解勞侖茲變換,考慮參考系甲。甲的四維路徑與真實方向重疊。甲的座標系是標準座標系。參考系乙的四維路徑是通過原點,向甲的x軸方向傾斜夾角θ的直線。θ小於45度。如何從甲變換至乙的座標系呢?
首先要找到乙通過原點的垂直三維空間。在前面「真實宇宙如何經觀察生成相對論」中,觀察者用光鐘測量時間導致閔考斯基度量。乙的光鐘其中一個鏡子C放在原點,另一個D放在y軸的方向1光秒的距離。兩個鏡子都在乙通過原點的垂直三維空間。如果鏡子D放在甲的x軸方向呢? 鏡子D的四維路徑必須與乙的四維路徑平行,也就是向甲的x軸方向傾斜θ角的直線。但是與原點的距離應該多少呢?如果D放在甲的x軸方向1光秒的距離,座標(0,1,0,0)的位置,光經過反射到達C鏡子的位置是( 原因是(0,1,0,0)並不在乙通過原點的垂直三維空間中。D鏡子只有在乙的三維空間中距離才是1光秒。四維距離是i1光秒。由此可以得到D在乙原點的垂直三維空間座標( 乙的ct軸在距離1光秒的位置是( 這樣可以得出勞侖茲變換 與逆勞侖茲變換
勞侖茲變換可以從圖形變化來理解。當45度>θ>0度,將乙的座標在圖形上展開為90度。ct軸與x軸像折扇面一樣向兩邊展開。甲的ct軸與乙的ct軸夾角保持θ。這樣的轉換,所有其他的點的位置都在變,唯有代表光的線上的點位置不變。
從圖形變化也可以理解逆勞侖茲變換。乙的ct軸除了向甲的x軸方向傾斜也可能向甲的-x軸方向傾斜θ。類似的,當0度>θ>-45度,將乙的座標在圖形上收縮為90度。ct軸與x軸像折扇面一樣向45度收縮。甲的ct軸與乙的ct軸夾角保持θ。 勞侖茲變換只能在相同原點的兩個座標系之間變換。實際上任何兩個觀察者不可能在同一四維位置。也就是說,在實際應用時,要麼容忍誤差,要麼得改換原點。要在兩個不同原點的座標系之間變換,先將原點移至新的原點,保持各軸的方向。再使用勞侖茲變換至新的座標系。 從勞侖茲變換可以看出光速對於任何人類慣性觀察者都一樣。意味著從理論上人類就無法偵測或計算出真實方向。也就是說人類只能有相對位置、相對速度等。這點與力學不同。在力學中,人類雖然實際上做不到計算靜止參考系,但是理論上可以。當然這一切源於人類測量時間的方法。 |
|
| ( 知識學習|科學百科 ) |







),與正確位置(
)不同。只有當D放在x軸方向
光秒距離才得到正確的位置。為什麼?
)。原點與這一點的連線是乙座標的x軸。乙的四維路徑是乙座標的ct軸。
)。x軸在距離1光秒的位置是(









