網路城邦
人生紀錄本
(
新版
)
首頁
文章創作
個人相簿
訪客簿
作家簡介
加入好友
|
推薦此部落格
|
加入我的最愛
|
訂閱最新文章
作家:宋坤祐
作家
宋坤祐
文章推薦人
(0)
其他創作
‧
光子(2)--熱性質
‧
光子(1)--晶體振盪
‧
晶體鍵結
‧
高等冶熱--自由能與成份圖, 三元相圖
‧
高等冶熱--相圖
‧
高等冶熱--溶液行為
‧
高等冶熱--活性與平衡常數
‧
高等冶熱--介紹與熱力學定律
‧
Potential-pH diagram
‧
氣體行為
最新創作
‧
中有教授聽聞解脫密法
‧
氣體動力論
‧
原子結構與光譜
‧
量子力學
‧
統計熱力學
字體:
小
中
大
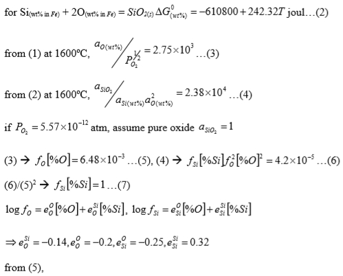
高等冶熱--溶液行為
2017/12/11 11:51:53
瀏覽
643
|回應
0
|推薦
0
(
知識學習
|
隨堂筆記
)
引用網址:https://classic-blog.udn.com/article/trackback.jsp?uid=ben168&aid=109415221