網路城邦
上一篇 回創作列表 下一篇   字體:
高三數學...複數
2025/03/31 00:10:16瀏覽522|回應0|推薦5

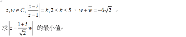
複數

一個有諸多元素的題目  有點意思

 關於直線的參數式

(也可以試著把一直線旋轉45度 正確的說法是把一動點繞原點旋轉45度)

 阿波羅圓

 兩集合(圖形)的最短距離

其中之一是直線x+y=-6,另一個是k=2的圓內與k=5的圓外的區域


( 創作另類創作 )
回應 推薦文章 列印 加入我的文摘
上一篇 回創作列表 下一篇

引用
引用網址:https://classic-blog.udn.com/article/trackback.jsp?uid=zen2020&aid=182130856