

▲父母的心聲!最美情報員蔡佩汶將派駐溫哥華▲台灣唯一赴FBI國家學院受訓調查官「最美情報員」蔡佩汶派駐溫哥華主要任務緝捕貴婦奈奈及「跨國父母拐騙兒童法」http://classic-blog.udn.com/alpineatks/153863788
投資移民加拿大後:遭遇家人失蹤,住屋被偷賣,家產盜賣的結果.Oh ! CANADA 噁 !加拿大弊端重重, http://classic-blog.udn.com/alpineatks/12227853 使投資移民的我失去家人,住屋, http://classic-blog.udn.com/alpineatks/12620687 家產被偷賣的吃人傷心地:溫哥華慈濟人通緝犯Vancouver Canada Multiple Realty Paul Chang(888lumberking@gmail.com,Tel:0021-604-434-1431,FaX:0021-604-434-9433,Cell:00217788895306)Pseudo-witness information http://classic-blog.udn.com/alpineatks/12620687
CANADA Michael Cooper, MP CAN HELP!Arrest Vanouver保羅張 Paul Chang 張書銘 is wanted abduction of children. http://classic-blog.udn.com/alpineatks/152692075
CANADA Michael Cooper, MP CAN HELP!祈惠助就近聯絡被藏匿溫哥華23年多三兒女們助我父子女再歡相聚. http://classic-blog.udn.com/alpineatks/103228008
Trump. CAN HELP:Arrest 聯邦級罪犯張雲翔 Clark Chang https://www.willseye.org/doctor/clark-chang-od-msa-msc-faao/ is wanted abduction of children. http://classic-blog.udn.com/alpineatks/152758043
神若願意,有規則必有例外,未來無限可能,人生非常美好,必有幸運奇跡發生"跨界經驗人才合作,必使奇跡發生。http://classic-blog.udn.com/alpineatks/137462399
您永遠不知道誰會認識可以幫助您的人。“請確保您認識的任何人都知道您要尋找的東西,他們可能會幫助您到達那裡。” http://classic-blog.udn.com/alpineatks/137818156
歡迎洽商諮詢有效的"個人生涯,團隊組成,及公司營運"等實際可行方案 。 http://classic-blog.udn.com/alpineatks/132239188
現忘恩負義兩主謀大繼子Multiple Realty Paul Chang張(又名博欽)書銘(SU-Ming Chang)大繼子及親自來台灣拐帶我三兒女綁匪次繼子張雲翔Clark Y.H. Chang 等忘恩負義仍有囂張不法行為:
1.現在溫哥華炫耀攀附關係及逃稅行為。
2.現在放話很希望我最好儘快去加拿大溫哥華對他們提起法律訴訟。
3.仍以長期控制我三兒女護照證件及行動。
4.阻止並警告我三兒女,若與父親我連絡就不要再回溫哥華現住處。
5.張揚種種偽造偽造資料等詐欺行為。
6.封鎖我三兒女們現時的外貌,身量,及學業,生活現況,安危信息。
7.主嫌張博欽大繼子Paul Chang 台灣名字張書銘,曾設籍於其板橋堂姐夫警察家又被台灣政府通緝至今。
8.至今分離近23年的三兒女她們現在得了嚴重斯德哥爾摩症,而逃避父親,使我遭受甚大打擊,非常傷心。http://classic-blog.udn.com/alpineatks/76812342
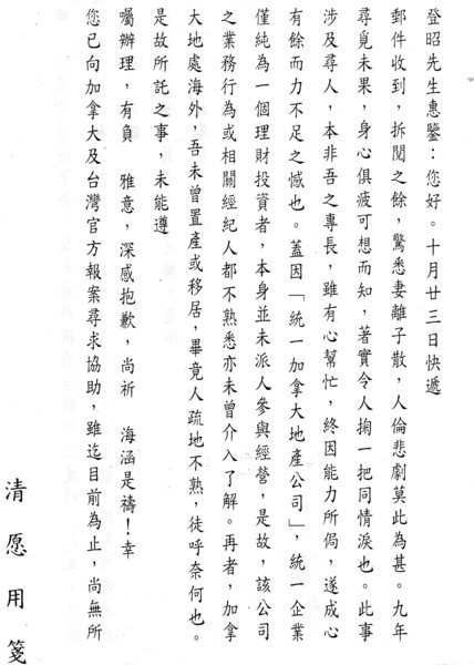
如統一高清愿及大繼子即北檢治偵張緝字第2803號通緝犯Multiple Realty Paul Chang 台灣名張書銘都曾放話,坐等我向法律申冤,取回公道日,再面對處理...
1.業主台灣統一企業,及主辦的加拿大統一房地產公司 ,加拿大溫哥華住家 (4616 Halley Ave Burnaby B.C. Canada V5G 3E1) 也被違法盜賣 http://classic-blog.udn.com/alpineatks/12478755,
2.台北律師公會理事長暨台灣法律援助會板橋分會長薛欽峰律師, http://classic-blog.udn.com/alpineatks/127746534
3.前加拿大統一房地產公司經紀現溫哥華怡富地產仲介鍾李穎怡 , http://blog.udn.com/alpineatks/4122621
4.大繼子即北檢治偵張緝字第2803號通緝犯Multiple Realty Paul Chang 台灣名張書銘 SU-Ming Chang (888lumberking@gmail.com,Cell:00217788895306) "仍在加拿大7270 Dow Ave, Burnaby, BC V5J 3X4"的主謀尚掌控我被奪國內,外"近億家產" http://blog.udn.com/alpineatks/11033849 及使我三兒女她們身心靈受限制在溫哥華加欣家庭旅館範圍中綁架案主要持續犯罪的罪犯. http://classic-blog.udn.com/alpineatks/12225067
5.次繼子即北檢治偵張緝字第2805號通緝犯張雲翔Clark Y.H. Chang是美國眼科專業醫師(曾是眼科診所網站的封面人物 )"已逃去美國曾是 http://www.vision-institute.com/new-jersey/clark-chang-o-d.htm 此眼科診所的封面人物 " 主謀加拿大大學畢業後,來台灣,自台灣住家,帶走我三兒女,到加拿大,並限制我三兒女行動的罪行積極的持續罪犯. http://blog.udn.com/alpineatks/12224607
6."加拿大政府"諱疾忌醫,仍以不實廣告,到處推介居住環境學校教育自由民主法治的加拿大生活,如今持續在海外到處招收國外留學生,及投資移民中..Oh ! CANADA ! 喔.加拿大 ! 至今是使我失去住家,家人,全部家產等藏污納垢吃人的傷心地方 ! http://classic-blog.udn.com/alpineatks/117097863
敬祝 平安喜樂 豐盛吉祥 境界更擴張 豐盛又祥和 alpineatks 許登昭敬上 手機: 0939-191-134 LINE:0908006079:台灣新北市23149新店區三民路117巷4弄3號3樓, E-mail: alpineatks@gmail.com ; drk_hsu@yahoo.ca ;
22年多來,持續想尋回自"台灣住家"被拐離出國三兒女的父親,提供外交部有關刑法第 242 條:移送前二條之被誘人出中華民國領域外者,處無期徒刑或七年以上有期徒刑。有關綁架幼童出國通緝犯及被害者地址卻以如若逕往毒品窟,或賭場,直接按鈴"罪犯窩藏處"並丟名片"打草驚蛇,通風報信",草率魯莽行為,實令人深感失望!怪不得台灣外交屢屢挫敗!! http://classic-blog.udn.com/alpineatks/61574163 我是至今一直仍非常想恢復家庭,再建家業,造福兒孫,串聯"過去,現在,未來",期厚德載物能有美好順利未來的熱血暖心人. http://classic-blog.udn.com/alpineatks/129358520 神跟我說除非請求台灣蔡英文總統寫信予美國川普總統及加拿大杜魯道總理幫忙,因為三兒女被拐帶出國至今,致家產被奪,家庭被破壞,家人失蹤22年的父親,人權恢復,家庭團聚,及申張公義!期盼幸運獲得幫助.否則很可能使我父子女們傷痕累累,兩敗俱傷,一場空,又徒勞無功. http://classic-blog.udn.com/alpineatks/112420850
敬致中華民國外交部執事鑒察:請求查報三兒女現健康,生活平安等相關訊息,盼伸張公義並盼 助我父子女儘快歡相聚,以解懸念,感激不盡! 台灣 http://classic-blog.udn.com/alpineatks/112401828
請求溫哥華市警局分派懂中文的警官幫忙尋找由台灣被拐藏到溫哥華21年多的三兒女並盼通知三兒女現時處境. http://classic-blog.udn.com/alpineatks/111562880 加拿大政府以"不實廣告" https://www.facebook.com/CANADATPE/ , 仍推介居住環境學校教育自由民主法治的加拿大生活,到處招收國外留學生,及投資移民中. http://classic-blog.udn.com/alpineatks/111759154 Oh ! CANADA ! 喔.加拿大是投資移民加拿大的我,買的溫哥華房屋會被偷賣了,所有台灣及加拿大家產都被吞噬了,溫哥華六位家人會皆失蹤不見 ! 藏污納垢的吃人傷心地. http://classic-blog.udn.com/alpineatks/117097863


1997年綁匪Clark Chang於May,自UBC畢業的禮物是聯邦級犯罪。http://classic-blog.udn.com/alpineatks/152752406 與不識英文的母親夥同綁匪multiplerealty 保羅張Paul Chang張博欽國際綁架罪行. http://blog.udn.com/alpineatks/7364892
1997年最特殊的母親節禮物是聯邦級犯罪。http://classic-blog.udn.com/alpineatks/152752406 兩自稱溫哥華慈濟人繼子張書銘,張雲翔於5月夥同不識英文的母親江明樺違法奪產及犯幼童國際綁架案逃逸至今.http://blog.udn.com/alpineatks/7552333
「跨國父母拐騙兒童法」,將把兒童帶出國或扣留國外,阻撓合法實施父母監護權的行為定為聯邦級犯罪。http://classic-blog.udn.com/alpineatks/152752406
家庭完全被破壞,23年多來,人生卡關,現網路發達,罪犯等已無法躲藏,現可精準作業了!求介轉直播網紅們大力幫忙。 http://classic-blog.udn.com/alpineatks/151821834
請求加拿大公權力,請求台灣公權力,大力協助曾是加拿大居民的台灣人許登昭(Teng-Chao Hsu a.k.a.Derek Hsu)我,和被迫分離23年多的父子女再聯繫,再歡相聚.申張公義,要回加拿大的家產,恢復加拿大家庭,拜託費心幫忙聯繫,與溝通. 三位兒女出生紙的父親是我 (Teng-Chao Hsu a.k.a.Derek Hsu) 許登昭的三兒女卻被自台灣住家帶出國不見了,房屋4616 Halley Ave Burnaby B.C. Canada V5G 3E1所有權人有 (Teng-Chao Hsu a.k.a.Derek Hsu) 許登昭 我的名字 ,卻在我許登昭的三兒女卻被自台灣住家帶出國不見後,發生台灣拐帶小孩出入通緝犯Vancouver Multiple Realty保羅張 Paul Chang台灣張書銘 (888lumberking@gmail.com,Cell:00217788895306) Pseudo-witness information 偷賣了我的加拿大住家,及所有家產,然後到現加拿大家人都不見了,23年多,三兒女成年後,輾轉告知說被改母姓了,要我放棄家人被藏匿,和我所有家產被盜奪的罪行,否則她們會繼續躲藏不見,等候法律判決後的處置,因為23年多來,已花費,耗心,耗力,現在山窮水盡 , 已無法負擔加拿大法律費用,旅費,生活費,住宿費了...因此只能期待加拿大政府及台灣政府幫忙 , 盼望針對已暴露行蹤的拐帶三台灣幼童出國及偷盜家產三通緝犯等罪行加拿大積極執行公權力及台灣積極執行公權力,大力協助:
只好請求Michael Cooper, MP 邁克爾·庫珀國會議員(MP)@Cooper4SAE Member of Parliament for St. Albert-Edmonton聖艾伯特-埃德蒙頓國會議員。及加拿大溫哥華區Victoria Police Department@VictoriaPoliceDepartment · 警局等相關加拿大公權力,請求相關加拿大公權力協助曾是加拿大居民的我,申張公義,要回加拿大的家產,恢復加拿大家庭,和父子女聯繫再歡相聚.拜託費心幫忙聯繫,與溝通. 謹祝 平安喜樂 豐盛吉祥 主內弟兄許登昭(Teng-Chao Hsu a.k.a.Derek Hsu) 敬上 手機:0939-191-134 LINE:0908006079:
台灣新北市23149新店區三民路117巷4弄3號3樓, E-mail: alpineatks@gmail.com ; drk_hsu@yahoo.ca ; Cell#:0886939191134:
Canadian Immigration(18Dec 1991),
Canadian social Insurance#729-111-039,
Canadian CareCard#9134-814-575
請求加拿大公權力,請求台灣公權力,大力協助曾是加拿大居民的台灣人許登昭(Teng-Chao Hsu a.k.a.Derek Hsu)我,和被迫分離23年多的父子女再聯繫,再歡相聚.申張公義,要回加拿大的家產,恢復加拿大家庭,拜託費心幫忙聯繫,與溝通. 三位兒女出生紙的父親是我許登昭的三兒女卻被自台灣住家帶出國不見了,房屋4616 Halley Ave Burnaby B.C. Canada V5G 3E1所有權人有我的名字 ,卻在我許登昭的三兒女卻被自台灣住家帶出國不見後,發生台灣拐帶小孩出入通緝犯Vancouver Multiple Realty保羅張 Paul Chang台灣張書銘 (888lumberking@gmail.com,Cell:00217788895306) Pseudo-witness information 偷賣了所有加拿大住家,及家產,然後加拿大家人都不見了二十多年,三兒女成年後告知說被改母姓了,要我放棄家人被藏匿,和我所有家產被盜奪的罪行,否則她們會繼續躲藏不見,等候法律判決後的處置,因為23年多來,花費,耗心,耗力,已無法負擔加拿大法律費用,旅費,生活費,住宿費了...盼望加拿大公權力及台灣公權力,大力協助:
只好請求Michael Cooper, MP 邁克爾·庫珀國會議員(MP)@Cooper4SAE
Member of Parliament for St. Albert-Edmonton聖艾伯特-埃德蒙頓國會議員。及加拿大溫哥華區Victoria Police Department@VictoriaPoliceDepartment · 警局等相關加拿大公權力,請求加拿大公權力協助曾是加拿大居民的我,申張公義,要回加拿大的家產,恢復加拿大家庭,和父子女聯繫再歡相聚.拜託費心幫忙聯繫,與溝通. 謹祝 平安喜樂 豐盛吉祥主內弟兄許登昭(Teng-Chao Hsu a.k.a.Derek Hsu) 敬上 手機:0939-191-134 LINE:0908006079:
台灣新北市23149新店區三民路117巷4弄3號3樓, E-mail: alpineatks@gmail.com ; drk_hsu@yahoo.ca ; Cell#:0886939191134:
Canadian Immigration(18Dec 1991),
Canadian social Insurance#729-111-039,
Canadian CareCard#9134-814-575,與神同行,神若願意,有規則必有例外,未來無限可能。神的計劃,神的時間,奇妙難測,必是美好的!
自台灣誘拐3幼童出國及犯罪奪產台灣北檢治偵張緝字第2803號通緝犯張書銘與2805號通緝犯張雲翔都出現了! http://classic-blog.udn.com/alpineatks/147484111
23年多來,使父子女無法相認,此盜奪財產,破壞家庭,拆散父子女團聚的惡劣行為,實是超越邪惡共產黨的惡魔行為!現通緝犯都出現了!謹請求大家仗義執言並協助舉發此三通緝犯! http://classic-blog.udn.com/alpineatks/149214479
台灣唯一赴FBI國家學院受訓調查官「最美情報員」蔡佩汶派駐溫哥華主要任務緝捕貴婦奈奈及「跨國父母拐騙兒童法」http://classic-blog.udn.com/alpineatks/153863788 請求幫忙協尋舉發於1997年6月24日傍晚自我台灣住家誘拐我三幼兒女藏匿國外至今23年多仍失聯的兩自稱溫哥華慈濟人實即Taiwans北檢治偵張緝字第2803號通緝犯1972/06/16生 Paul Chang 台灣名張書銘和Taiwans北檢治偵張緝字第2805號通緝犯張雲翔 Clark Y.H. Chang(1974/05/18生)以伸張公義並盼助我父子女歡相聚. http://classic-blog.udn.com/alpineatks/61574163 人微言輕的我比"台灣蔡英文總統早一天",出生於"新北市長侯友宜故鄉"嘉義縣朴子鎮後,父母不久即搬離朴子鎮售衣服攤位,而遷至母親故鄉嘉義市二度創業,我成年離開上班七年的台塑企業建廠單位,創業半年即成家立業,夫妻四年內同心建立"加拿大家庭和台灣家庭"約台幣近億家產後 http://classic-blog.udn.com/alpineatks/11033849 ,卻於香港回歸一週前,我就讀再興小學三溫哥華出生的幼兒女,於1997年6月24日自台灣住家被偷拐出國,意外地 http://blog.udn.com/alpineatks/4122621 ,禍從天降 http://classic-blog.udn.com/alpineatks/17450881 ,我家庭完全被破壞,23年多來,未再與兒女見面,深受傷害,人生卡關,請求直播網紅們大力幫忙。 http://classic-blog.udn.com/alpineatks/139387838 請求幫忙協尋舉發於1997年6月24日傍晚自我台灣住家誘拐我三幼兒女藏匿國外至今23年多仍失聯的兩自稱溫哥華慈濟人實即Taiwans北檢治偵張緝字第2803號通緝犯1972/06/16生 Paul Chang 台灣名張書銘和Taiwans北檢治偵張緝字第2805號通緝犯張雲翔 Clark Y.H. Chang(1974/05/18生)以伸張公義並盼助我父子女歡相聚. http://classic-blog.udn.com/alpineatks/61574163
邪惡行為超越"共產黨"的台灣檢治偵張緝字第2803~5號三通緝犯都出現了!請求協助舉發,盼繩之以法,以伸張公 義!及助我父子女歡相聚,恢復家庭! http://classic-blog.udn.com/alpineatks/149293895
家庭完全被破壞23年多,現網路發達,已無法躲藏,終於現蹤!罪犯等放話邀在溫哥華法律解決! http://classic-blog.udn.com/alpineatks/147935358 
CANADA: https://twitter.com/Cooper4SAE CAN HELP :我投資移民加拿大後,買的加拿大住家,於溫哥華生三兒女,及一切家產竟然失蹤23年多,盼助伸張公義! http://classic-blog.udn.com/alpineatks/152955446
CANADA: https://twitter.com/Cooper4SAE CAN HELP 惠助聯絡被藏匿溫哥華23年多三兒女們助我父子女再歡相聚,恢復家庭及申伸張公義! http://classic-blog.udn.com/alpineatks/152686292
USA Trump CAN HELP:Arrest 聯邦級罪犯張雲翔 Clark Chang https://www.willseye.org/doctor/clark-chang-od-msa-msc-faao/ is wanted abduction of children. http://classic-blog.udn.com/alpineatks/152758043
CANADA : https://twitter.com/Cooper4SAE CAN HELP :我投資移民加拿大後,買的加拿大住家,於溫哥華生三兒女,及一切家產竟然失蹤23年多,盼助伸張公義! http://classic-blog.udn.com/alpineatks/152955446
請求溫哥華市警局分派懂中文的警官幫忙尋找由台灣被拐藏到溫哥華23年多的三兒女並盼通知三兒女現時處境. http://classic-blog.udn.com/alpineatks/111562880
我投資移民加拿大後:遭遇家人失蹤,住屋被偷賣,家產盜賣的結果.Oh ! CANADA 噁 !加拿大弊端重重, http://classic-blog.udn.com/alpineatks/12227853
請求直播網紅們大力幫忙。 http://classic-blog.udn.com/alpineatks/139387838
23年多來,使父子女無法相認,此盜奪財產,破壞家庭,拆散父子女團聚的惡劣行為,實是超越邪惡共產黨的惡魔行為!現通緝犯都出現了!謹請求大家仗義執言協助舉發"台灣檢治偵張緝字第2803號通緝犯1972/06/16生 Paul Chang 張書銘和第2804號通緝犯江明樺Angel(1951/10/25生)及第2805號通緝犯張雲翔 Clark Chang(1974/05/18生)"此三通緝犯!謹請求大家仗義執言協助舉發盼繩之以法,以伸張公義及助我父子女歡相聚,恢復家庭! http://classic-blog.udn.com/alpineatks/149214479
通緝犯都出現了!請求幫忙舉發時常離家出走的逃妻第2804號通緝犯江明樺Angel(1951/10/25生)現住於"加拿大 7270 Dow Ave, Burnaby, BC V5J 3X4 ",及二繼子加拿大UBC大學畢業來台灣的第2805號通緝犯張雲翔 Clark Chang(1974/05/18生),母子兩人於1997年6月24日傍晚自我台灣住家誘拐我三幼兒女至國外藏匿我三幼兒女至今23年多仍失聯而主謀犯罪奪產及管控被藏匿國外我三幼兒女的罪犯係兩自稱溫哥華慈濟人實即大繼子加拿大SFU大學畢業的北檢治偵張緝字第2803號通緝犯Paul Chang 台灣名張書銘現住於"加拿大 7270 Dow Ave, Burnaby, BC V5J 3X4 "和已逃美國的二繼子即北檢治偵張緝字第2805號通緝犯張雲翔 Clark Chang現工作於 https://www.willseye.org/doctor/clark-chang-od-msa-msc-faao/ 威爾斯眼科醫院 840 Walnut Street,Suie 920費城,PA 19107 Google Maps OD,MSA,MSC,FAAO克拉克·張1-877-289-4557,拆散父子女團聚的惡劣行為,實是超越邪惡共產黨的惡魔行為! 盼繩之以法,以伸張公義及助我父子女歡相聚,恢復家庭! http://classic-blog.udn.com/alpineatks/61574163
壹.台灣檢治偵張緝字第2803號通緝犯1972/06/16生 Paul Chang 張書銘 SU-Ming Chang曾有偏名張博欽 溫哥華手機:0788895306 : 888lumberking@gmail.com ,即大繼子在台灣功課差又想逃避台灣兵役的小留學生在溫哥華讀私立中學加家教補習上SFU延長兩年與二繼子加拿大UBC大學畢業來台灣的第2805號通緝犯張雲翔 Clark Chang(1974/05/18生)同年畢業任職台灣統一關係企業時受WinnieY.Chung鍾李穎怡前在屬台灣統一關係企業時當地產經紀(winnie@winniechung.com)在空白文件先假見證的習慣所啟發,都已加拿大大學畢業的第2803號通緝犯張書銘與第2805號通緝犯張雲翔兩兄弟,即仿傚:第2805號通緝犯張雲翔就冒充偽簽我名字,第2803號通緝犯張書銘為冒充偽簽我名字作假見證,開始在加拿大英文系國家偽造文書偷賣加拿大住家罪行 ! http://blog.udn.com/alpineatks/4122621


1996年大繼子自稱溫哥華慈濟人溫哥華萬寶地產綁匪主謀Paul Chang 張書銘偽造(4616 Halley Ave Burnaby B.C. Canada V5G 3E1) 地產贈與書預備犯罪證據. http://blog.udn.com/alpineatks/4148206
1997年最特殊的母親節禮物--溫哥華慈濟人兩自稱溫哥華慈濟人繼子張書銘,張雲翔於5月夥同母親江明樺違法奪產及犯幼童國際綁架案逃逸至今. http://blog.udn.com/alpineatks/7552333
1997年自稱溫哥華慈濟人綁匪Clark Chang於May,自UBC畢業的禮物是母親夥同綁匪multiplerealty Paul Chang張博欽國際綁架罪行. http://blog.udn.com/alpineatks/7364892

7270 Dow Ave 加拿大 不列颠哥伦比亚省本拿比m.me/278229208860722通話 +1 778-865-2338電郵: cdc535@gmail.com


此盜奪財產,破壞家庭,拆散父子女團聚的惡劣行為,實是超越邪惡共產黨的惡魔行為! http://classic-blog.udn.com/alpineatks/149214479
找到了! 大繼子即北檢治偵張緝字第2803號通緝犯溫哥華Multiple Realty Paul Chang 台灣名張書銘 SU-Ming Chang : 888lumberking@gmail.com , Cell:00217788895306 在溫哥華聯合"始作俑者"係現怡富地產鍾太WinnieY.Chung鍾李穎怡前在屬台灣統一關係企業時當地產經紀(winnie@winniechung.com)開頭在仲介我加拿大家產(4616 Halley Ave Burnaby B.C. Canada V5G 3E1) 文件做假見證http://blog.udn.com/alpineatks/4122621
而開始破壞我家庭的"奪產主謀"即偽造文書奪產得逞逃逸罪犯的大繼子即北檢治偵張緝字第2803號通緝犯溫哥華Multiple Realty Paul Chang 台灣名張書銘 SU-Ming Chang : 888lumberking@gmail.com , Cell:00217788895306 目前已出現和仍被誘拐出國的我就讀再興國小3幼童親生兒女,一同居住在"加拿大 7270 Dow Ave, Burnaby, BC V5J 3X4 "的主謀溫哥華Multiple Realty Paul Chang 台灣名張書銘尚一直控制我我就讀再興國小3幼童親生兒女及掌控我所被奪取的國內,外"近億家產" http://blog.udn.com/alpineatks/11033849 及使我三兒女她們身心靈受限制在溫哥華加欣家庭旅館範圍中綁架案主要持續犯罪的罪犯. http://classic-blog.udn.com/alpineatks/12225067
壹.啟發指導的幫助罪犯現怡富地產鍾太WinnieY.Chung鍾李穎怡前在屬台灣統一關係企業時當地產經紀(winnie@winniechung.com)
貳.台灣檢治偵張緝字第2804號通緝犯江明樺Angel(1951/10/25生)7270 Dow Ave 加拿大 不列颠哥伦比亚省本拿比m.me/278229208860722通話 +1 778-865-2338電郵: cdc535@gmail.com


當時已離家兩個月多出走的逃妻就是台灣北檢治偵張緝字第2804號通緝犯江明樺(F200559088),配合溫哥華UBC大學畢業來台灣的二繼子,就是台灣Taiwans北檢治偵張緝字第2805號通緝犯張雲翔 Clark Y.H. Chang(1974/05/18生),自台灣住家誘拐我就讀再興國小3幼童親生兒女,於香港回歸一週前即1997年6月24日前,一起出國,藏匿我就讀再興國小3幼童親生兒女後,第2804號通緝犯江明樺(F200559088),於1997年8月中,暗中自行返回台灣,收買黑白兩道,巧取豪奪台灣家產,最後造成我家庭被完全破壞,但有如壓垮駱駝最後一根稻草係聯合台灣法律援助板橋分會長法學碩士薛欽峰律師有兩次在仲介我加拿大家產(4616 Halley Ave Burnaby B.C. Canada V5G 3E1) 授權文件上做假見證. http://classic-blog.udn.com/alpineatks/17450881

貳.幫助犯台灣法律援助板橋分會長法學碩士薛欽峰律師以律師身份作假見的疑被第2804號通緝犯江明樺(F200559088),收買薛欽峰律師連續兩次聯合在偽簽名作假見證罪行,有如壓垮駱駝最後一根稻草,幫助我加拿大住家(4616 Halley Ave Burnaby B.C. Canada V5G 3E1) 被順利偷賣,使我家產全部被奪,而逃妻與兩繼子,即挾帶我三親生幼兒,捲台幣近億家產,畏罪潛逃,造成我家庭完全被破壞,至今23年多我父子女仍未曾再見面,如此拆散父子女團聚的惡劣行為,實是超越邪惡共產黨的惡魔行為! 盼繩之以法,以伸張公義及助我父子女歡相聚,恢復家庭! http://classic-blog.udn.com/alpineatks/61574163

然後依薛欽峰律師兩次做假見的我加拿大住家產授權買賣文件,而成功偷賣(4616 Halley Ave Burnaby B.C. Canada V5G 3E1) 加拿大住家後,通緝犯江明樺(F200559088)並與同住(4616 Halley Ave Burnaby B.C. Canada V5G 3E1) 自稱溫哥華慈濟人實即Taiwans北檢治偵張緝字第2803號通緝犯1972/06/16生 Paul Chang 台灣名張書銘和Taiwans北檢治偵張緝字第2805號通緝犯張雲翔 Clark Y.H. Chang(1974/05/18生)兩繼子通緝犯一起奪走我所有家產後並挾持我就讀再興國小3幼童親生兒女畏罪潛逃國外至今23年多,大繼子即北檢治偵張緝字第2803號通緝犯溫哥華Multiple Realty Paul Chang 台灣名張書銘 SU-Ming Chang : 888lumberking@gmail.com , Cell:00217788895306 目前已出現和仍被誘拐出國的我就讀再興國小3幼童親生兒女,一同居住在"加拿大 7270 Dow Ave, Burnaby, BC V5J 3X4 "的主謀溫哥華Multiple Realty Paul Chang 台灣名張書銘尚一直控制我我就讀再興國小3幼童親生兒女及掌控我所被奪取的國內,外"近億家產" http://blog.udn.com/alpineatks/11033849 及使我三兒女她們身心靈受限制在溫哥華加欣家庭旅館範圍中綁架案主要持續犯罪的罪犯. http://classic-blog.udn.com/alpineatks/12225067
參.第2805號通緝犯張雲翔 Clark Chang(1974/05/18生)即二繼子罪行積極,已藏逃美國一再變遷工作,曾於1997年6月24日傍晚與時常離家出走的逃妻第2804號通緝犯江明樺Angel(1951/10/25生)現住於"加拿大 7270 Dow Ave, Burnaby, BC V5J 3X4 ",及二繼子加拿大UBC大學畢業來台灣的第2805號通緝犯張雲翔 Clark Chang(1974/05/18生),母子兩人自我台灣住家誘拐我三幼兒女至國外藏匿我三幼兒女至今23年多仍失聯, 而已逃美國一再舉報罪行積極,預先來台灣與不懂英文的母親及他在台灣認識的女友蔡麗自台灣新店住家拐帶我當時都在再興小學就讀的三位親生兒女到加拿大至今22年多,的台灣北檢治偵張緝字第2805號通緝案自台灣拐帶幼兒我三兒女出國藏匿的通緝犯Clark chang張雲翔曾於 300 Frank W. Burr Blvd Teaneck, New Jersey 07666 Tel: 201-883-0505工作地點 http://classic-blog.udn.com/alpineatks/67292802
變遷地址的二繼子即北檢治偵張緝字第2805號通緝犯張雲翔 Clark Chang現工作於 https://www.willseye.org/doctor/clark-chang-od-msa-msc-faao/ 威爾斯眼科醫院 840 Walnut Street,Suie 920費城,PA 19107 Google Maps OD,MSA,MSC,FAAO克拉克·張1-877-289-4557 盼繩之以法,以伸張公義及助我父子女歡相聚,恢復家庭! http://classic-blog.udn.com/alpineatks/61574163 23年多來,使父子女無法相認,此盜奪財產,破壞家庭,拆散父子女團聚的惡劣行為,實是超越邪惡共產黨的惡魔行為!現三通緝犯都出現了!!謹請求大家仗義執言協助舉發盼繩之以法,以伸張公義及助我父子女歡相聚,恢復家庭! http://classic-blog.udn.com/alpineatks/149214479
我三位誕生於溫哥華的親生兒女身份資料 :


1.大女許鈞媛(DENISE HSU)女,公元1990年1月29日Burnaby BC Canada出生。現被偷改母姓 Chiang ;cdc535@gmail.com


2.大兒許鈞堤(DERRICK HSU)男,公元1990年1月29日Burnaby BC Canada出生。改Chiang ; derrick_chiang77@yahoo.com


3.二女許家慈(ANGELA HSU)女,公元1992年2月24日Burnaby BC Canada出生。現被偷改母姓 Chiang ; achianga@gmail.com
RCMP Detachment Cst Travis MORTON (travis.morton@rcmp-grc.gc.ca)investigating at the request of 17JAN2013. http://classic-blog.udn.com/alpineatks/12227853


請求溫哥華市警局分派懂中文的警官幫忙尋找由台灣被拐藏到溫哥華23年多的三兒女並盼通知三兒女現時處境,現三通緝犯都出現了!!謹請求大家仗義執言協助舉發盼繩之以法,以伸張公義及助我父子女歡相聚,恢復家庭! http://classic-blog.udn.com/alpineatks/111562880
敬致中華民國外交部執事鑒察:現三通緝犯都出現了!!謹請求大家仗義執言協助舉發盼繩之以法,以伸張公義及助我父子女歡相聚,恢復家庭! http://classic-blog.udn.com/alpineatks/147484111 請求盼惠助查報三兒女現健康,生活平安等訊息,以解懸念,感激不盡! 台灣 http://classic-blog.udn.com/alpineatks/112401828
敬祝 平安喜樂 豐盛吉祥 境界更擴張 豐盛又祥和 alpineatks許登昭敬上 手機:0939-191-134 LINE:0908006079:台灣新北市23149新店區三民路117巷4弄3號3樓, E-mail: alpineatks@gmail.com ; drk_hsu@yahoo.ca ;Canadian Immigration(18Dec 1991),
Canadian social Insurance#729-111-039,
Canadian CareCard#9134-814-575 ,
Cell#:0939-191-134, Line:250745w6789
alpineatks@gmail.com ; drk_hsu@yahoo.ca
台灣新北市23149新店區三民路117巷4弄3號3樓 Cell#;0939181134:Line:0908006079
3F., No.3, Aly. 4, Ln. 117, Sanmin Rd., Sindian Dist., New Taipei City 23149, Taiwan (R.O.C.) http://classic-blog.udn.com/alpineatks/111562880
自台灣誘拐3幼童出國及犯罪奪產台灣北檢治偵張緝字第2803號通緝犯張書銘與2805號通緝犯張雲翔都出現了 ! http://classic-blog.udn.com/alpineatks/147484111
老天啊!誰願意幫我呢? 台北律師公會前理事長即現法律援助會板橋分會薛欽峰律師會長,在執行有專業證照業務時,連兩次假見證,造成我加拿大及台灣家庭都完全被破壞23年多了。 http://classic-blog.udn.com/alpineatks/141422530
7270 Dow Ave 加拿大 不列颠哥伦比亚省本拿比m.me/278229208860722通話 +1 778-865-2338電郵: cdc535@gmail.com
控制被誘拐3幼童出國及偽造文書奪產逃逸罪犯的大繼子即北檢治偵張緝字第2803號通緝犯Multiple Realty Paul Chang 台灣名張書銘 SU-Ming Chang (888lumberking@gmail.com , Cell:00217788895306) "仍在加拿大7270 Dow Ave, Burnaby, BC V5J 3X4 "的主謀尚掌控我被奪國內,外"近億家產" http://blog.udn.com/alpineatks/11033849 及使我三兒女她們身心靈受限制在溫哥華加欣家庭旅館範圍中綁架案主要持續犯罪的罪犯. http://classic-blog.udn.com/alpineatks/12225067
我三位誕生於溫哥華的親生兒女身份資料 :
1.大女許鈞媛(DENISE HSU)女,公元1990年1月29日Burnaby BC Canada出生。現被偷改母姓 Chiang ;cdc535@gmail.com
2.大兒許鈞堤(DERRICK HSU)男,公元1990年1月29日Burnaby BC Canada出生。改Chiang ; derrick_chiang77@yahoo.com
3.二女許家慈(ANGELA HSU)女,公元1992年2月24日Burnaby BC Canada出生。現被偷改母姓 Chiang ; achianga@gmail.com
To My dearest son( Derrick )and daughters( Denise & Angela ),鈞媛,鈞堤,家慈3兒女如晤:
天天有神同在,神若願意,有規則必有例外,未來無限可能,人生非常美好。神的計劃,神的時間,奇妙難測,必是美好的!為了愛,以前我一直很希望幫助妳們,我很擔心妳們受委屈,及吃不必要的苦,我一直苦心尋找及到處釋放盼望妳們回來的消息…現在妳們都成年了,妳們要開始對自己行為負責了,我要將妳們交託給神了,我還會常奉主耶穌聖名禱告祈求神保護妳們,幫助妳們身,心,靈,群,再成長,一.身體要健康:二.心理要正常:三.靈命要喚醒會興盛有喜樂:四.群就是要多建立幾個朋友圈和同興趣粉絲團:多學習群眾生活經驗,及專業知識:哈利路亞! 神若願意,帶領妳們走正確的道路!http://classic-blog.udn.com/alpineatks/54047127
鈞媛,鈞堤,家慈,如晤:原諒。合作。分享。勇敢。保持信心:就儘快設法買機票或通知我協助買機票來台灣留兩週或一個月盼23年多未見父子女同吃同住聚聊並同遊大台北吧! http://classic-blog.udn.com/alpineatks/40540252
哈利路亞!敬盼在溫哥華的基督徒當帶領在溫哥華加欣家庭旅館(7270 Dow Ave, Burnaby, BC V5J 3X4)工作的我3兒女們認識耶穌,相信耶穌,成為神兒女,期23年未見面的她們身心靈群皆能正常發展,我必銘記在心感激不盡! http://classic-blog.udn.com/alpineatks/20024894
哈利路亞!上帝一直與鈞媛,鈞堤,家慈妳們同在,妳們要歡喜快樂向上帝禱告祈求,神會幫忙挪移一切攔阻,並對妳們說話,帶領妳們走前面的道路,務要一直剛強壯膽大聲向上帝禱告祈求智慧和能力的恩典,奉主耶穌聖名禱告,神必應允.阿們!http://classic-blog.udn.com/alpineatks/49055283
哈利路亞!祈盼貴大力惠助我們已分離23年多現在溫哥華已被洗腦的三位親生兒女,有智慧知黑白,儘快回心轉意,父子女四人心相近,再歡喜團聚,當感激不盡. http://classic-blog.udn.com/alpineatks/10091871
祈盼助協尋及關照被拐藏分離23年多現在溫哥華出現,身心已受傷壞得嚴重斯德哥爾摩症的我三位溫哥華出生兒女儘快清醒有智慧知黑白,父子女能心相近認祖歸宗,再歡喜團聚,必銘記在心感激不盡.http://blog.udn.com/alpineatks/10360588
Since June 24, 1997, I have not seen BC Canadian my son and 2 daughters for 23 Yrs. http://classic-blog.udn.com/alpineatks/6318221
威爾斯眼醫院 840 Walnut Street,Suie 920費城,PA 19107 Google Maps OD,MSA,MSC,FAAO克拉克·張鏡1-877-289-4557 https://www.willseye.org/doctor/clark-chang-od-msa-msc-faao/
找到了!http://classic-blog.udn.com/alpineatks/145329782 台灣Taiwans北檢治偵張緝字第2805號通緝犯自台灣誘拐3幼童出國及偽造文書奪產逃逸罪犯張雲翔 Clark Y.H. Chang(1974/05/18生)出現了! https://www.willseye.org/doctor/clark-chang-od-msa-msc-faao/
Request arrest-USA-new-jersey/自稱溫哥華慈濟人通緝犯clark-chang is wanted abduction of 3BC Canadian children. http://classic-blog.udn.com/alpineatks/12224607
My house in Canada (4616 Halley Ave Burnaby B.C. Canada V5G 3E1) was sold stealthily and torn down without my own awareness in 14 Jan.1998. http://classic-blog.udn.com/alpineatks/12478755
Request immediately arrest-CANADA Vanouver Multiple Realty自稱溫哥華慈濟人通緝犯Paul Chang is wanted abduction of 3BC Canadian children. http://classic-blog.udn.com/alpineatks/12225067
RCMP Detachment Cst Travis MORTON (travis.morton@rcmp-grc.gc.ca)investigating at the request of 17JAN2013. http://classic-blog.udn.com/alpineatks/12227853
1996年自稱溫哥華慈濟人溫哥華萬寶地產綁匪主謀張博欽Paul Chang原名張書銘偽造地產贈與書預備犯罪證據.http://blog.udn.com/alpineatks/4148206
1997年最特殊的母親節禮物--溫哥華慈濟人兩自稱溫哥華慈濟人繼子張書銘,張雲翔於5月夥同母親江明樺違法奪產及犯幼童國際綁架案逃逸至今.http://blog.udn.com/alpineatks/7552333
1997年自稱溫哥華慈濟人綁匪Clark Chang於May,自UBC畢業的禮物是母親夥同綁匪multiplerealty Paul Chang張博欽國際綁架罪行. http://blog.udn.com/alpineatks/7364892
譬如統一高清愿及大繼子即北檢治偵張緝字第2803號通緝犯Multiple Realty Paul Chang 台灣名張書銘都曾放話,坐等我向法律申冤,取回公道日,再面對處理...
1.業主台灣統一企業,及主辦的加拿大統一房地產公司 ,加拿大溫哥華住家 (4616 Halley Ave Burnaby B.C. Canada V5G 3E1) 也被違法盜賣 http://classic-blog.udn.com/alpineatks/12478755 ,
2.台北律師公會理事長暨台灣法律援助會板橋分會長薛欽峰律師 , http://classic-blog.udn.com/alpineatks/127746534
3.前加拿大統一房地產公司經紀現溫哥華怡富地產仲介鍾李穎怡 , http://blog.udn.com/alpineatks/4122621
4.大繼子即北檢治偵張緝字第2803號通緝犯Multiple Realty Paul Chang 台灣名張書銘 SU-Ming Chang (888lumberking@gmail.com,Cell:00217788895306) "仍在加拿大7270 Dow Ave, Burnaby, BC V5J 3X4"的主謀尚掌控我被奪國內,外"近億家產" http://blog.udn.com/alpineatks/11033849 及使我三兒女她們身心靈受限制在溫哥華加欣家庭旅館範圍中綁架案主要持續犯罪的罪犯. http://classic-blog.udn.com/alpineatks/12225067
5.台灣Taiwans北檢治偵張緝字第2805號通緝犯自台灣誘拐3幼童出國及偽造文書奪產逃逸罪犯張雲翔 Clark Y.H. Chang(1974/05/18生)https://www.willseye.org/doctor/clark-chang-od-msa-msc-faao/ 出現了! http://classic-blog.udn.com/alpineatks/120790043 次繼子即北檢治偵張緝字第2805號通緝犯張雲翔Clark Y.H. Chang是美國眼科專業醫師(曾是眼科診所網站的封面人物 )"已逃去美國曾是 http://www.vision-institute.com/new-jersey/clark-chang-o-d.htm 此眼科診所的封面人物 " 主謀加拿大大學畢業後,來台灣,自台灣住家,帶走我三兒女,到加拿大,並限制我三兒女行動的罪行積極的持續罪犯. http://blog.udn.com/alpineatks/12224607
6."加拿大政府"諱疾忌醫,仍以不實廣告,到處推介居住環境學校教育自由民主法治的加拿大生活,如今持續在海外到處招收國外留學生,及投資移民中..Oh ! CANADA ! 喔.加拿大 ! 至今是使我失去住家,家人,全部家產等藏污納垢吃人的傷心地方 ! http://classic-blog.udn.com/alpineatks/117097863
多加添中階主管以上年輕新血以利全面改進外交部目前上行下效,敷衍塞責,未老先衰的作為。 http://classic-blog.udn.com/alpineatks/123892037
您一再向本部提供綁架幼童出國通緝犯及被害者地址7270 Dow AVE, Burnaby, BC V5J 3X4本部請我駐溫哥華同仁已完成"打草驚蛇,通風報信"等行為了 查照。外交部。 http://classic-blog.udn.com/alpineatks/61574163
寶齡富錦 西藥供應商/製造商不得將藥物供應非藥局、非藥商及非醫療機構,違者依同法第92條,可處新台幣3~200萬罰緩。 http://classic-blog.udn.com/alpineatks/135784961
敬問台灣各級政府有否藥品流通管理的權責單位呢?有何查核公司不法的權責單位呢? http://classic-blog.udn.com/alpineatks/107684472
祈惠助就近聯絡於1997年6月24日傍晚自我台灣住家我三幼兒女被誘拐藏匿溫哥華23年多三兒女們助我父子女再歡相聚。http://classic-blog.udn.com/alpineatks/19866364
台灣新店許登昭敬託; Cell#:0939191134 ; Line:0908006079 : alpineatks@gmail.com : Canadian Immigration(18Dec 1991),Canadian social Insurance#729-111-039, Canadian CareCard#9134-814-575,
台灣新北市23149新店區三民路117巷4弄3號3樓,3F.,
3F., No.3, Aly. 4, Ln. 117, Sanmin Rd., Sindian Dist., New Taipei City 23149, Taiwan R.O.C.)
He has shown you, O mortal, what is good. And what does the Lord require of you? To act justly and to love mercy and to walk humbly with your God.
世人哪,耶和華已指示你何為善。他向你所要的是什麼呢?只要你行公義,好憐憫,存謙卑的心,與你的神同行。
ˊ
我比"台灣蔡英文總統早一天",出生於"新北市長侯友宜故鄉"嘉義縣朴子鎮,父母搬遷嘉義市二度創業,我成家立業後 http://classic-blog.udn.com/alpineatks/11033849 ,意外地 http://blog.udn.com/alpineatks/4122621 ,禍從天降 http://classic-blog.udn.com/alpineatks/17450881 ,家庭完全被破壞,23年多來,人生卡關,請求直播網紅們大力幫忙。 http://classic-blog.udn.com/alpineatks/139387838
老天啊!誰願意幫我呢? 台北律師公會前理事長即現法律援助會板橋分會薛欽峰律師會長,在執行有專業證照業務時,連兩次假見證,造成我加拿大及台灣家庭都完全被破壞23年多了。 http://classic-blog.udn.com/alpineatks/141422530
1988~1992年總共"近四年"時間,在台北創業,夫妻就同心建立有溫哥華 (4616 Halley Ave Burnaby B.C. Canada V5G 3E1) 加拿大家庭和 ( 台北市信義路二段67號 ) 台灣家庭共約台幣億元家產, http://classic-blog.udn.com/alpineatks/11033849 而深信 "神若願意,有規則必有例外,未來無限可能,人生非常美好。" http://classic-blog.udn.com/alpineatks/13079299 在"香港回歸中國"一週前,於1997年6月24日傍晚,妻及剛自加拿大大學畢業兩繼子們,自台灣住家拐帶我三溫哥華出生幼小兒女到加拿大後,續盜賣住家等全部家產,使我家庭完全被破壞。 http://classic-blog.udn.com/alpineatks/61574163 母子三人畏罪挾持我三兒女拐藏到加拿大等地至今,以前資訊全無,茫茫然只得亂槍打鳥,現網路發達,已無法躲藏,終於現蹤!現可以"精準攻擊"了!罪犯等放話邀在溫哥華法律解決! http://classic-blog.udn.com/alpineatks/140929805
,我成家立業後 http://classic-blog.udn.com/alpineatks/11033849 ,意外地 http://blog.udn.com/alpineatks/4122621 ,禍從天降 http://classic-blog.udn.com/alpineatks/17450881 ,家庭完全被破壞,23年多來,人生卡關,,請求直播網紅們大力幫忙。 http://classic-blog.udn.com/alpineatks/139387838
團隊都是由言談志趣相符的兩人開始,我們必須成為發動機,堅定前行的時候,去走著走著就會出現了團隊!http://classic-blog.udn.com/alpineatks/144060747
我們來成立推動:加拿大和台灣的"信,望,愛"重要夥伴商務合作,與聯集方式,異業合作方案。"信,望,愛"重要夥伴商務合作團隊吧! http://classic-blog.udn.com/alpineatks/125370738







































聖誕節快樂!拜託惠助寄聖誕節賀卡,給被誘藏23年多的我三兒女,一人,各一張,教會,或自買"聖誕節賀卡"關懷及報佳音!
聖誕節快樂!拜託惠助寄聖誕節賀卡,給被誘藏23年多的我三兒女,一人,各一張,教會,或自買"聖誕節賀卡"關懷及報佳音!http://classic-blog.udn.com/alpineatks/121993599