字體:小 中 大 |
|
|
|
| 2010/12/03 11:31:06瀏覽32988|回應0|推薦0 | |
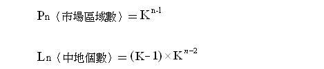
要知道中地理論是啥米鬼,需先知道以下概念: A.商品圈:消費者願意前往購物的最大範圍。(=市場區域) B.商閾:維持營業者生存下去的最小臨界範圍。 八十年前,德國有一位地理學家克氏出版了一本《地圖的中心說》,用科學的概念,勾勒出聚落分布的規律。 克先生作了一個假設~ 1.有一個平坦、無邊界限制的平原。 2.各聚落之間距離相等,交通運輸系統相同。 2.本地的氣候、土壤、資源都呈現均質性。 3.人口分布均勻,相應的收入分布、對貨物需求、消費方式均一致。 4.消費者與生產者都很理性: (1)消費者以最低的交通費用,到最近的聚落購買貨物。 (2)生產者力求擴大市場,以謀取最大利潤。 根據上面的假設,克氏認為: 1.為了相互聯絡方便,這些聚落將成六角形狀。 2.中地提供的商品種類愈多(或等級愈高),便需要愈大的商閾支持。 3.以「市場」原則,一個較高級的中地市場可以涵蓋3個次一級中地。(K=3) 4.以「交通」原則,次一級中地恰好在2個較高級中地的交通線上。(K=4) 5.以「行政」原則,每個較高級中地都包含6個次一級中地的面積。(K=7) 中地理論到底想要講什麼? →企圖為人類的經濟活動空間,作一個最有效率的安排。 接下來就是最令人心煩的中地數、市場區域數計算了~見附件公式 當K=3時(K到底是啥米咚咚?) 第5級的中地市場區域數(Pn)=3的4次方=81 第5級的中地個數(Ln)=(3-1)*(3的3次方)=54 |
|
| ( 知識學習|考試升學 ) |



字體:






